Hombros de gigantes
speisbol #8
Ya se acerca el día de muertos en México. Es una celebración en la que recordamos y honramos a todas aquellas personas que ya nos dejaron pero cuyo recuerdo o legado se quedó con nosotros. Esto me llevó a escribir un artículo que hable sobre algunos pensadores y científicos que nos han ayudado a abrir la frontera espacial.
“If I have seen further it is by standing on the shoulders of Giants” - Sir Isaac Newton, 1675
Todos los descubrimientos científicos han sido posibles porque se han basado en otros realizados en el pasado. Ese es el significado que interpreto de esta frase de Newton. Abajo verás en forma cronológica aquellos personajes que poco a poco han ido descifrando las secretos del Universo.
Imagen: science.edu
Aristóteles (384 - 322 A.C.)
Él creía que la Tierra se encontraba inmóvil en el centro del Universo y que los astros se movían en círculos alrededor de ella. Creía que más allá de las esferas (planetas) había un primer motor que lo movía todo.
Imagen: Biblioteca en línea
Claudio Tolomeo (87 - 150 D.C.)
Logró crear un sistema que representaba con un alto grado de complejidad y precisión los movimientos del Sol, la Luna y los cinco planetas conocidos hasta ese momento en un sistema geocéntrico (i.e., con la Tierra inmóvil en el centro del Universo).
Imagen: Biografías y vidas
Nicolás Copernico (1473 - 1543)
Gracias a él pudimos independizar el estudio de la naturaleza del estudio teológico. Fue autor del sistema heliocéntrico, el cual describe que el Sol y no la Tierra se encuentra en el centro del Sistema Solar. ¡Pasaron 1,800 años entre la visión aristotélica (geocéntrica) y la copernicana (heliocéntrica)!
Imagen: meteorologiaenred
Tycho Brahe (1546 - 1601)
Inventó instrumentos sofisticados previos a la invención del telescopio para medir los movimientos de las estrellas y los planetas con gran precisión. Johannes Kepler aceptó una invitación para trabajar con él en Praga.
Imagen: pinimg
Johannes Kepler (1571 - 1630)
Ampliamente reconocido por haber descubierto las leyes que rigen el movimiento de los planetas. Al igual que Newton, Kepler realizó grandes contribuciones a la óptica que como habrán visto en el artículo pasado, hoy nos ayudan a observar la Tierra con gran precisión.
Imagen: 2da ley de Kepler (a tiempos iguales, áreas barridas iguales)
Galileo Galilei (1564 - 1642)
Contribuyó a la mejora del telescopio, realizó grandes observaciones astronómicas y descubrió cuatro lunas en Júpiter: Ganímedes, Calisto, Europa e Io. Considerado padre de la astronomía moderna y gran contribuidor al desarrollo del método científico.
Imagen: satélites galileanos de Júpiter (Ganímedes, Calixto, Europa e Ío)
Isaac Newton (1643 - 1727)
Para mí lo relevante en contribuciones espaciales es la ley de gravitación universal así como las tres leyes de Newton. La ley de gravedad explica cómo dos cuerpos se atraen proporcionalmente a sus masas e inversamente proporcional al cuadrado de sus distancias. G es la constante de gravitación universal; m1 y m2 son las masas de los cuerpos; y r es la distancia entre ellos en la fórmula de abajo.
Imagen: sciencephoto
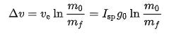
Konstantin Tsiolkovsky (1857 - 1935)
Creador de la ecuación del cohete que sirvió de base para el desarrollo de cohetes a reacción. La industria aeroespacial actual no existiría sin esta ecuación.
DeltaV es el cambio máximo en velocidad de un vehículo sin la intervención de fuerzas externas. Para llegar a órbita lunar necesitas un determinado DeltaV, para llegar a órbita baja (LEO) otro menor y así sucesivamente dependiendo del destino.
m0: es la masa inicial del vehículo o masa mojada (que incluye al combustible);
mf: masa final o masa seca (estructura sin combustible)
Isp: impulso específico es una medida de eficiencia de un cohete a reacción que utiliza combustible para producir empuje. Básicamente es la velocidad de escape de los gases de un cohete. Entre más alto el Isp menos combustible será necesario para producir un determinado DeltaV para ganar altitud y velocidad.
Albert Einstein (1879 - 1955)
De acuerdo a la teoría de la relatividad, los satélites GPS perciben al tiempo más rápido vs a cómo se percibe en la Tierra (la fuerza de gravedad curva el espacio-tiempo). Sin este descubrimiento, éstos satélites no traerían un sistema de ajuste que viera por esta diferencia temporal haciendo que tu Google Maps en vez de llevarte al punto X te lleve al punto X+100.
En este artículo incluí a quienes creo nos pusieron las piedras fundamentales para el desarrollo de esta industria. El número es sin duda muy amplio y por supuesto que no he mencionado a muchos otros grandes como Carl Sagan, a todas las mujeres y hombres en la carrera tecnológica de los 50s y 60s entre Estados Unidos y Rusia, Gerard K. O'Neill, Wernher von Braun entre mucho otros.
Para despedirme te dejo una calaverita que escribí ayer:
El espacio a muchos por largo tiempo nos valió
Su valor agregado poco se entendió
Gracias a Elon y Jeff celebridades en cohete subirían
Muchos espectadores aún no lo digerían
¿Pero de qué se trata esto?
Pues mira es complicado ve y pregúntale a Ernesto
¡Mare! mejor no te hagas wey
Suscríbete @speisbol and you “will know the way”
Feliz día de muertos.
Suscríbete aquí para no perderte un solo artículo de Speisbol.
Fuentes:
https://www.science.edu/acellus/2018/11/newton-seeing-further/
https://www.fisicalab.com/apartado/ley-gravitacion-universal
https://www.ecured.cu/Nicol%C3%A1s_Cop%C3%A9rnico
https://es.wikipedia.org/wiki/Tycho_Brahe
https://paginas.matem.unam.mx/cprieto/biografias-de-matematicos-k-o/210-kepler-johannes
https://arquimedes.matem.unam.mx/PUEMAC/PUEMAC_2008/kepler/html/
https://es.wikipedia.org/wiki/Galileo_Galilei
https://www.biografiasyvidas.com/biografia/t/tsiolkovski.htm
https://www.biografiasyvidas.com/biografia/t/tolomeo.htm
https://blogfisica1001.blogspot.com/2011/09/aristoteles-y-las-contribuciones-la.html
https://solarsystem.nasa.gov/news/954/10-things-einstein-got-right/
https://en.wikipedia.org/wiki/Specific_impulse













Espectaxcular!!!